在产品颜色质量管控中,色差是一项重要的管控指标。计算色差首先要选择标准样品,然后比较其他样品与标准样品的差异,最后通过特定的色差公式将色差量化。那么,色差是怎么计算的?色差的单位怎么表示?本文对色差计算及色差单位表示做了介绍。

色差计算方法之色差公式:
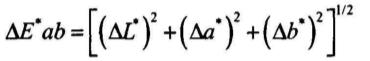
色差是两种样品在同样条件下颜色的差异程度。实验证明,人眼对于540nm的绿色光谱色区域需要有2~3nm的变化才会有不同颜色的感觉,在可见光谱的两端,人眼对波长变化的敏感度较差,特别是波长大于655nm与小于430nm的可见光范围,人眼几乎不能再分辨出因波长变化而产生的颜色差异。计算色差首先要选择标准样品,然后其它的样品跟标样的差异就称为色差。一定的颜色空间肯定有相应的色差公式,下列公式为CIE1976L*a*b*相应的色差公式。

公式中△L*为样品与标祥明度值的差值。△a*为样品与标祥红緑度值的差值。△b*为样品与标祥黄蓝度值的差值。
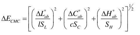
△Ecmc色差公式在两点上对CIE1976LAB色差公式做了优化,CMC色差公式在原色差公式的每个分量上增加了分母变量,对三种颜色参数增加了权重函数的作用。在不同的颜色区域,人眼对颜色差别的分辨能力不同,为了反映这种特性,增加了调整变量SL、SC和SH,同时还增加了调整因子l和c,便色差公式更均匀。其表达式如下:

公式中l、c调整椭圆半径的调整因子;SL明度差的校正函数;SC彩度差的校正函数;SH色调差的校正函数。
DE2000是综合了多种色差公式发展而来的。DE2000公式不仅具有对评价小色差更为理想的明度、彩度、色相加权函数SL、SC和SH以及调整因子KL、KC、KH,还有提高蓝色性能的参数RT,是比CMC公式更均匀的色差公式。其表达式如下:

公式中KL、KC、KH调整椭圆半径的调整因子;SL明度差的校正函数;SC彩度差的校正函数;SH色调差的校正函数;RT为旋转函数,用来校正蓝色区域的色分辨椭圆主轴的方向。△L'、△C'、△H'为样品与标样的明度差值、彩度差值和色调差值。
色差的单位怎么表示?
色差的单位是NBS,它是美国国家标准局(National Bureau of Standards)制定的,现为各国普遍采用。当△E=1时称为1个NBS色差单位,INBS色差单位大约相当于在最优试验条件下人眼所能知觉的恰可观察差的5倍。在CIE色度图中,1NBS色差单位相当于0.0015~0.0025x或y的色度坐标变化。在孟塞尔色系中,一个孟塞尔明度单位等于10个NBS色差单位,1个孟塞尔饱和度单位等于7个NBS色差单位。下表是NBS单位及在色差视觉上的显著程度。

郑重声明:本文版权归原作者所有,转载文章仅为传播更多信息之目的,如作者信息标记有误,请第一时间联系我们修改或删除,多谢。



