什么是均匀颜色空间?均匀颜色空间是指存在一个颜色表示系统,其表示的颜色符合人眼的视觉特性,并且采用一个量来表示人的色彩感觉差别,一般用空间距离或者数字表示。本文对均匀颜色空间及均匀颜色空间色差公式做了介绍。

均匀颜色空间介绍:
均匀颜色空间是指存在一个颜色表示系统,其表示的颜色符合人眼的视觉特性,并且采用一个量来表示人的色彩感觉差别,一般用空间距离或者数字表示。该量度值须符合人的感觉,当量度值较小时,目视感觉到的色彩差别就较小;当量度值较大时,目视感觉就大。
CIE建议使用CIE1976L*u*v*和CIE1976L*a*b*两个均匀颜色空间,其中广泛使用的CIE1976L*a*b*均匀色空间是由三个通道组成:L*通道表示明度,其取值范围是0~100,数值越大颜色的明度值越大;a*通道和b*通道是两个色度通道,其中a*通道表示颜色的红绿反应,b*通道表示颜色的黄蓝反应,a*和b*的取值范围为-128~127。对于a*来讲,数值越大颜色越红,数值越小颜色越绿;对于b*值来说,b*值越大颜色越发黄,否则越偏蓝。
均匀颜色空间色差公式:
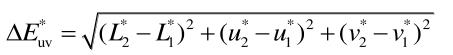
1.CIE1976L*u*v*颜色空间
CIE1976L*u*v*颜色空间又称为CIELUV颜色空间,它是使用L*、u*、v*作为三维直角坐标的颜色空间,在CIE1976L*u*v*颜色空间中,L*表示明度,u*、v*表示颜色的色品坐标,若用L*、u*、v*标定的两个颜色之间的总色差△E由下式计算:

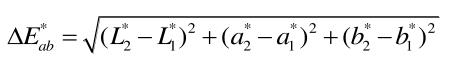
2.CIE1976L*a*b*颜色空间
CIE1976L*a*b*颜色空间也称为CIELAB颜色空间,它是使用L*、a*、b*作为三维直角坐标的颜色空间,在CIE1976L*a*b*颜色空间中,L*表示明度,a*、b*表示颜色的色品坐标,若用L*、a*、b*标定的两个颜色之间的总色差△E由下式计算:

郑重声明:本文版权归原作者所有,转载文章仅为传播更多信息之目的,如作者信息标记有误,请第一时间联系我们修改或删除,多谢。



