色差仪具有多个色度空间,包括XYZ、Lab和Luv等色度空间。不同的色度空间表示的颜色方式不同,因此,使用不同颜色空间的色度值无法进行颜色的比对和分析。这时候就需要进行色度值的转换,以获取相同的颜色信息。本文对色差仪X、Y、Z值与L、a、b、u、v值转化方法做了介绍,感兴趣的朋友可以了解一下!

色差仪X、Y、Z值的含义:
CIEXYZ颜色空间,也称CIE1931颜色空间。CIE希望通过该颜色空间下的三个分量(X,Y,Z)能够描述人颜色视觉系统所能察觉的任意一种颜色,其中X和Z定义为颜色的色度,Y为颜色的亮度。
CIEXYZ颜色空间主要应用于分光光度计和数字颜色分析器等分析仪器,它为这一类仪器提供了待分析样本所需的透射或折射的三色光信号。虽然 CIEXYZ颜色空间在分析化学中的相关应用也颇为广泛,但是它所表示的颜色与人眼感知不太一致,导致在不同颜色对比中存在一定缺陷。因此,该颜色模型往往只是用于线性转换到其他颜色空间的过渡颜色空间。对于无法直接转换的两个颜色空间,XYZ颜色空间通常可以作为桥梁,使两种颜色空间能进行转换。
色差仪L、a、b值的含义:
CIELab(L*a*b*)颜色模型是基于人对颜色的感觉建立起来的。Lab中的数值是描述正常视力的人能够看到的所有颜色。由于Lab颜色模式描述的是颜色的显示方式,而不是设备(如显示器、桌面打印机或数码相机)生成颜色所需要的特定色料的数量,所以Lab被视为是与设备无关的颜色模型。在Lab颜色空间中一个很小的颜色变化都可以通过人眼察觉出来。
从Lab模式的概念中可以知道,L表示的是颜色的亮度,a通道显示的是从深绿——50%灰(中性灰)——亮粉红色。在这个通道的灰度图中,暗部表示的是绿色,小于128灰即50%灰为绿色,灰度值越接近50%灰,绿色的饱和度越小,灰度值越远即灰度值越小于50%灰,绿色的饱和度就越高,亮表示亮粉红色大于128度(或者是50%灰(中性灰))亮部显示图片的红色部分,越亮,饱和度越高,反之,接近中性灰(较暗的亮区)数值越接近128度灰,饱和度越小。b通道显示的是从亮蓝——50%灰(中性灰)——黄色,通道灰度图的亮区是黄色区域,亮度越高,饱和度越高,越接近50%中性灰,饱和度越低,通道灰度图的暗部为蓝色区域,显示区域越暗,饱和度越高,越接近50%中性灰,蓝色饱和度越低。
色差仪L、u、v值的含义:
CIELUV颜色空间是CIE1976L*u*v*均匀颜色空间的简称,在CIELUV空间中,L*为明度,u*、v*为色品指数。三者相互垂直构成色空间来描述相对应的亮度和色度量:垂直的轴是明度L*,位于水平面且互相垂直的是色品指数u*和 v*。
CIELUV颜色空间与CIELAB颜色空间相似,L*,u*,v*是X,Y,Z通过非线性变换得到的,同样用两点间的距离表示颜色之间的色差。CIEL*u*v*和CIEL*a*b*有一些共同的特点。首先,它们的颜色空间虽然距完全均匀仍有距离,但基本上是均匀的。其次,由于是基于颜色测量的CIE系统,CIEL*u*v*和CIEL*a*b*都是与设备无关的颜色空间。
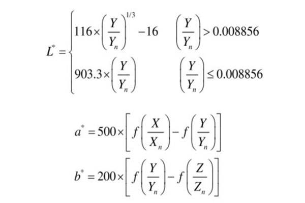
色差仪X、Y、Z值与L、a、b转换方法:
CIELAB颜色空间作为均匀的颜色空间,旨在解决XYZ颜色空间的物理距离与人眼的感知不相当的问题。在这一颜色空间中的三个属性值可以由XYZ颜色空间的三个属性转化而来。转换公式如下:

其中,在上面的公式中,X、Y、Z 指的是物体的三刺激值,这三个属性值是在海明对立坐标理论的基础上建立起来的。Xn、Yn、Zn表示的是CIE 标准照明体先照射在完全反射漫反射体上,再经其反射到人们眼中的白颜色物体的三刺激值。光源和观察者的条件分别以D65和10°条件为佳。
色差仪X、Y、Z值与L、u、v值转化方法
XYZ颜色空间转换Luv颜色空间
三个刺激量X,Y,Z到CIELuv颜色空间的转换公式如下:

变量u',v'和u'0,v'0可以从下式得出:

X0、Y0、Z0为标准白光所对应的XYZ值。CIELuv颜色空间比较强调对红色的表示,即对红色变化比较敏感,但对蓝色表示得比较粗糙。
郑重声明:本文版权归原作者所有,转载文章仅为传播更多信息之目的,如作者信息标记有误,请第一时间联系我们修改或删除,多谢。



