色差仪是依据色度学的标准研制的一种比色仪器,其内部配有多个CIE规定的用于定量描述颜色的色彩模型,即颜色空间。在不同的颜色空间下,色差值的表示方法是不同的。本文对色差仪不同颜色空间下的色差值的表示方法做了介绍,对此感兴趣的朋友可以了解一下!

W*U*V*颜色空间及色差值表示方法:
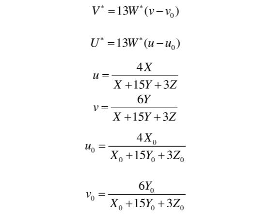
1964年,CIE提出了使用明度指数W*,色度指数V*和U*构建均匀颜色空间,在均匀颜色空间中,计算色差可以不再受相等亮度因数的限制。
明度指数W*可以表示为:

色度指数V*和U*分别可以表示为:

上式中:X0、Y0、Z0表示所使用标准照明体的三刺激值,X、Y、Z表示物体色的三刺激值。由于均匀颜色空间中,两种颜色的色差由两点之间的距离代替,如果假设两种颜色之间明度指数W*,色度指数V*和U*的差值分别为△W,△U,△V,则颜色的色差(△E)可以表示为:

NBS(美国国家标准局缩写)作为色差的单位,且色差为0.2NBS时,人眼就能觉察出颜色的差异,上式系列公式仅适用于视场小于4°的情况。
L*u*v*颜色空间及色差值表示方法:
1975年,CIE提出了两种新的颜色空间用于解算色差,即CIE1976(LAB)与CIE1976(LUV)颜色空间,该颜色空间能更好的反应人眼对于物体颜色的心理感受。在CIE1976L*u*v*均匀颜色空间中,以相互垂直L*、u*、v*三个轴来描述相应的亮度和色度量。可以表示为:

则色差:

上式中X、Y、Z是待测样品CIE三刺激值,Yn是选定标准样品的Y刺激值,u'n、v'n分别为选定标准样品的u'、v'值,△E*uv为色差值,△L*、△u*、△v*分别为待测样品与选定标准样品的差值。
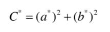
L*a*b*颜色空间及色差值表示方法:
在1976L*a*b*均匀颜色空间中,使用米制明度L*,米制色度a*和b*表示颜色空间中的坐标轴,三个参数表达式如下:

上式中,X0、Y0、Z0与X、Y、Z指代的意义与WUV颜色空间中色度指数计算公式中X0、Y0、Z0与X、Y、Z的指代的意义相同,L*表示颜色明亮程度。该系统的色差可以表示为:

彩度C*(颜色的饱和度)可以表示为:

郑重声明:本文版权归原作者所有,转载文章仅为传播更多信息之目的,如作者信息标记有误,请第一时间联系我们修改或删除,多谢。



