为了让颜色的评定具有统一的标准,CIE规定了多个用于颜色评定的颜色空间,其中就有Lab颜色空间。Lab颜色空间作为一种均匀的颜色空间,是目前色差仪中使用最广泛的一种颜色空间,在该颜色空间中L表示明度,a表示红色和绿色的成分,b表示黄色和蓝色的成分。本文对Lab颜色空的含义及色差仪Lab颜色空间表示色差的方法做了介绍。

色差仪Lab颜色空间介绍:
CIEL*a*b*是CIE推荐的均匀颜色空间,其均匀性已有很大的改善,该系统与设备无关,色度值和明度值(阶调)可以独立调节,而且当颜色的色差大于视觉的识别阈限(恰可察觉)而又小于孟塞尔系统中相邻两级的色差时,能较好地反映物体色的心理感受效果。
在CIELAB颜色空间中,有L、a、b三个分量,其中L表示的是颜色的亮度,取值范围是[0,100]即从纯黑到纯白,a和b表示的是色度坐标,a表示洋红色至绿色的范围,取值范围为[127,-128],b表示从黄色至蓝色的范围,取值范围为[127,-128]。CIELAB颜色空间是一个近似均匀的颜色空间,若对于不同色区的两对比色测出相等的色差值,并不意味人眼观测到的两颜色也有相等的色差感觉,尽管如此,CIELAB颜色空间仍是目前最好的颜色空间之一。
色差仪Lab颜色空间表示色差的方法:
CIELAB色差公式是基于近似均匀的三维颜色空间建立的,由直角坐标L*、a*、b*构成,国际照明委员会推荐使用。该色差公式建立在CIELAB颜色空间之上,L*、a*、b*的值由下式确定:

上式中,X、Y、Z表示被测物体在标准色度系统(CIE1931或 CIE1964)中的三刺激值。Xn、Yn、Zn表示白物体色的三刺激值。
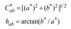
彩度和色调角的计算公式如式下:

其颜色属性差异可以用△L*、△a*、△b*、△C*ab和△H*ab表示,总色差使用三维空间中两种颜色坐标之间的欧几里得距离表示,如下所示:

另外一种使用△L*、△C*ab和△H*ab计算总色差的公式如下所示:

上面两个公式计算出的△E*ab是等价的。
色差仪Lab颜色空间转换XYZ颜色空间方法:
L*a*b*颜色模型的基础是CIE在1931年提出的颜色模型,并作为国际颜色测量标准。1976年此模型被重新修正,并命名为CIEL*a*b*。实际上CIEL*a*b*均匀颜色空间是经CIEXYZ颜色空间非线性变换而得到的,这一均匀色彩空间的优点是当颜色的色差大于视觉的识别阈值(恰可察觉)而又小于孟塞尔系统中相临两极色差时,可以较好地放映物体色的心理感受效果。它与CIEXYZ颜色空间的转换关系式如下:

式中:X,Y,Z为颜色样品的三刺激值;X0,Y0,Z0为CIE标准照明体的三刺激值。
郑重声明:本文版权归原作者所有,转载文章仅为传播更多信息之目的,如作者信息标记有误,请第一时间联系我们修改或删除,多谢。



