色差ΔE是一种颜色与另一种指定颜色色知觉差异数值的多少,这种差异值可以用孟塞尔表色系统或CIE表色系统的相关特征参数进行区别,如明度、色相、彩度、XYZ三刺激值等。那么,色差△E值是怎么计算的?色差△E值怎么分析?下文为大家做了介绍。

色差△E值计算方法:
要想计算色差,就需要了解色差公式。目前在色差仪中常见的色差公式有:CIELAB、CMC(l:c)、CIE1964、Cube-Root、FMC-2、Godlove、Visual、CIE94、ISO、CIE1976LUV、JPC79等多种,且各具优缺点,实际使用中与习惯和经济发展水平以及行业特点有重要关系。1936-1976年为一个阶段,有20多个公式。1976年后为一个阶段,多数以CIELAB色差公式为基础进行修正,实用性大大提高。下面只对色差公式CIELAB、CMC(l:c)和CIE94进行简单介绍。
1.CIELAB色差计算公式
CIELAB色差公式是最简单的色差公式,也是1976年CIE推荐的工业应用色差公式之一。使用两个颜色刺激色样在空间中的欧式距离来表示两者之间的色差。假设在CIELAB颜色空间中有两个颜色(L*1,a*1,b*1)和(L*2,a*2,b*2),通过下列色差公式便可计算出两者之间的色差。

式中,△L*、△a*和△b*分别表示两个颜色样本的坐标L*、a*和b*之差。
如果CIELAB空间是理想的均匀颜色空间,则其对应的视觉容差应为球形。
根据颜色科学研究人员的实验研究,发现在CIELAB空间使用椭球来描述颜色的视觉容差更为合适,这表明CIELAB颜色空并非理想的均匀颜色空间。虽然CIELAB色差公式对中小色差的预测精度较差,但由于其结构简单,易于理解并具有较好的大色差预测精度,所以仍被广泛应用。
2.CMC色差计算公式
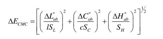
CMC是英国颜色测量委员会Colour Measurement Committee的缩写,1988年CMC色差公式被英国推荐为英国国家标准(BS 6823),广泛应用于纺织行业及其他工业。在修正CIELAB色差公式的基础上,CMC色差公式根据视觉关系调整了每个色调方向的色差椭圆大小和形状;改善了彩度差变化与明度之间的关系,使不同彩度的颜色具有不同的色差容限。非彩色区域附近的椭圆较小,彩度高的椭圆较大,色差容限与彩度的变化成正比。CMC色差公式为如下形式:

其中,△L*ab、△H*ab和△C*ab,为CIELAB确定的明度差、彩度差和色调差;SL、SC和SH分别为明度、彩度和色调的权重函数;L*s和C*ab,s和hab,s均为确定色差的标准样本。明度权重因子和彩度权重因子c与具体应用条件有关,一般情况下c=1。在纺织业中,当l=2时用CMC色差公式计算得到的纺织品色差与视觉感觉相对一致。对于涂料、塑料和油墨等应用,取l=1.4。
CMC色差公式实际上是一个三维空间中的椭球公式,也就是说,用以目标色样的坐标点为中心的一个椭球来表示色差,椭球的大小与样品颜色同目标色的差别有关,也与具体的颜色区域有关,在不同的颜色区域用不同大小和取向的椭球来表示色差。这种计算色差的方式已经被CE确定为今后发展色差公式的一种标准形式,主要的研究重点是如何确定公式中的系数,CIE94色差公式就是这类公式的代表。
3.CIE94色差计算公式
色差公式CIE94由RIT的R.S.Berns等人在对RIT-DuPont、Luo-Rigg和Witt 这三个基于物体色的中小色差视觉实验数据集进行相关分析和处理的基础上所提出,并由CIE技术委员会TC1-29于1995年推荐为用于工业色差评价,其表达式为:

其中,△L*、△C*ab和△H*ab,均由CIELAB色差公式计算得到;△C*ab一般指标准色样的CIELAB彩度,但当被测样品中不分标准色样与测试色样时,则以两者的几何平均值作为C*ab,即:△C*ab=(C*ab,1△C*ab,2)1/2。
在使用CIE94色差公式时,CIE推荐了相应的参考观察条件。当实际的观测条件和应用场合不同于CIE94参考观察条件时,需要用参数因子kL、kC和kH来调整明度、彩度和色调分色差在总色差中的相对权重。
TC1-29指出,当获取新的实验数据时应对CIE94继续改进。可以在不同于参考观察条件的实验条件下进行视觉实验,利用相关实验结果对权重函数SL、SC和SH以及参数因子kL、kC和kH进行修改,从而对CIE94进行改良。随着更多实验数据的获得,还可以对色差公式CIE94及其权重函数的表达式结构进行修改。
色差△E值怎么分析?
色差(ΔE)是指定量地对色知觉差异进行表示,通俗说法为一种颜色与另一种指定颜色色知觉差异数值的多少。两种颜色之间的差异可以用孟塞尔表色系统或CIE表色系统的相关特征参数进行区别,如明度、色相、彩度、XYZ三刺激值等。
L*、a*、b*颜色系统三维空间是目前最流行的用于测量物体颜色的色空间。它是CIE定义的均色三维色空间之一,如下图所示。该三维直角坐标系统中,以明度L*和色度坐标a*、b*来表示颜色在空间的位置。

色差ΔE是一个综合值,取决于两种颜色之间的L、a、b差之坐标值。ClE Lab色空间中两个颜色的色度坐标值(L*样品,a*样品,b*样品)和(L*标准,a*标准,b*标准)之间的差值ΔE通过如下公式进行计算:
ΔE=[(ΔL*)2+(Δa*)2+(Δb*)2]1/2
其中:ΔL*=L*样品-L*标准,为明度差异;△L*为正值,样品颜色偏浅色方向;为负值,样品偏深色方向。
△a*=a*样品-a*标准,为红/绿差异;△a*为正值,样品颜色偏红;△a*为负值,样品偏绿。
△b*= b*样品-b*标准,为黄/蓝差异;Δb*为正值,样品颜色偏黄;△b*为负值,样品偏蓝。
用ΔE来评价色差时,△E越小表示样品与标准颜色越接近,反之则表示两种颜色相差越远。
郑重声明:本文版权归原作者所有,转载文章仅为传播更多信息之目的,如作者信息标记有误,请第一时间联系我们修改或删除,多谢。



