纺织色差仪是纺织行业常用的颜色测量仪器,这类仪器一般会配置纺织行业常用的色差公式,用于对纺织色差进行评定。那么,纺织色差最常用的两个色差公式是哪两个?本文对纺织色差仪最常用的色差公式类型做了介绍,对纺织色差公式感兴趣的朋友可以了解一下!

纺织色差仪ΔE*CMC(l:c)色差公式:
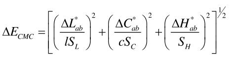
ΔE*cmc色差公式在修正ΔE*ab色差公式的基础上,根据视觉关系调整了每个色调方向的色差椭圆大小和形状;改善了彩度差变化与明度之间的关系,使不同彩度的颜色具有不同的色差容限。非彩色区域附近的椭圆较小,彩度高的椭圆较大,色差容限与彩度的变化成正比。它引入了明度权重因子l彩度权重因子c,能够解决暗色和中性色区域的色差结果计算与人眼测量结果相差较大的问题,适应不同的色差需求。其表达式如下:

其中,△L*ab、△H*ab和△C*ab为CIELAB确定的明度差、彩度差和色调差:SL、SC和SH分别为明度、彩度和色调的权重函数:L*s、C*ab,s和hab,s均为确定色差的标准样本。明度权重因子/和彩度权重因子c与具体应用条件有关,一般情况下c=1。在纺织业中,当l=2时用CMC色差公式计算得到的纺织品色差与视觉感觉相对一致。
纺织色差仪△E*94色差公式:
△E*94色差公式完整的名称是“CIE1994(△L*、△C*ab、△H*ab)色差模型”,缩写为“CIE94”,或色差符号△E*94。该公式规定了一些默认参考条件,如照明需采用CIE标准照明体D65、样品色差幅度在0-5CIELAB色差单位、样品结构在颜色上是均匀的、样品尺寸为视场大于4°、样品放置为直接边捻接触等。在染色工业相关应用中,这些参考条件的设置使得该公式计算出的明度、色调、彩度的差异与人眼感觉相一致。△E*94色差公式是CMC(1:c)色差公式的一种改良形式,其结构与ΔE*CMC(l:c)色差公式相似的公式,该公式的计算式如下所示:

式中ΔL*,△C*ab,△H*ab分别表示两种颜色间的明度差、彩度差和色相差。参数因子KL,KC,KH可根据不同的评价对象和评价条件选择不同数值,参考条件下的参数因子数值均为1。当观察条件改变时,可以对各参数进行单独改变以适应视觉上每个颜色分量(明度、彩度、色相)的变化。在印刷行业中推荐使用kL=1.4,kC=kH=l;在纺织行业中,当kL=2,kC=kH=1时,CIE94色差公式计算结果与视觉评价更接近。
郑重声明:本文版权归原作者所有,转载文章仅为传播更多信息之目的,如作者信息标记有误,请第一时间联系我们修改或删除,多谢。



