CIELab和Hunter Lab颜色空间是色差仪常见的两个颜色空间,它们都是三维矩形颜色空间,但同一颜色在这两个颜色空间中的数值是不同的。本文对色差仪CIELab和Hunter Lab颜色空间区别做了介绍。

色差仪CIELab颜色空间:
CIELab颜色空间是一个以三维直角为坐标的色度空间,L*在坐标空间中代表的是明度。在a*b*平面上,当L*相等条件时,红色方向以+a*来表征,数据值越大表示颜色越红,绿色方向以-a*来进行表征,数据值越小表示颜色越绿,黄色方向以+b*进行表示,数据值越大表示颜色越黄,表示蓝色方向用-b*进行表示,数据值越小表示颜色越蓝。明度值L*、a*和b*三个坐标的计算公式如下所示:

在上式中,Xn、Yn、Zn代表的是标准照明体的光辐射到物体上产生完全反射现象时在观察者眼中生成的刺激值信号,且Yn=100,X、Y和Z表示颜色的三刺激值。
在CIELab色度空间中,两个颜色点之间的欧几里得距离可以用来对色差进行表征计算,如下式所示:

根据彩度值和色度角的计算,色差还可以用以下的方法进行计算:

色差仪Hunter Lab颜色空间:
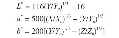
HunterLab色彩空间是由Hunter提出的一种用于描述颜色的空间,它与CIELab色彩空间类似,但同一颜色在这两个颜色空间中的数值是不同的,Hunter Lab在颜色空间的蓝色部分是收缩的,CIELab在颜色空间的黄色部分是过度扩张的。它们都是由CIE XYZ体系导出的,在Hunter Lab颜色空间中,Hunter Lab色度参数L、a、b的表达式如下:

L(明度)轴:其中0代表黑,100代表白。a(红一绿)轴:其中正值为红;负值为绿。b(蓝一黄)轴:其中正值为黄;负值为蓝。L值越大,物体颜色越白;L值越小,物体颜色越黑。沿(+a)方向红色逐渐加深,沿(-a)方向绿色逐渐加深。沿(+b)方向黄色逐渐加深,沿(-b)方向蓝色逐渐加深。X、Y、Z为物体的三刺激值;Xn、Yn、Zn为完全反射面的三刺激值;Ka、Kb为调整因子。
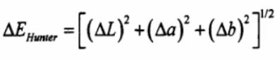
在Hunter Lab颜色空间中,其色差公式可表示为:

式中:△L、△a、△b分别为两个物体表面色的明度差和色品坐标差。
郑重声明:本文版权归原作者所有,转载文章仅为传播更多信息之目的,如作者信息标记有误,请第一时间联系我们修改或删除,多谢。



